RSI (Relative Strength Index) là một trong những công cụ phổ biến nhất trong phân tích kỹ thuật, được sử dụng để đo lường động lực giá của các chứng khoán/crypto và tài sản tương tự trên thị trường tài chính. Trong bài viết này, chúng ta sẽ cùng nhau tìm hiểu RSI là gì và những điều cơ bản cần biết để sử dụng chỉ số này một cách hiệu quả.
Cùng BitcoinVN News Theo dõi nhé!

Chỉ số sức mạnh tương đối – RSI là gì?
RSI (Relative Strength Index – Chỉ số Sức mạnh Tương đối) là một chỉ báo phân tích kỹ thuật giúp bạn biết giá đang mạnh hay yếu & liệu tài sản có đang bị mua quá nhiều hoặc bán quá mức so với bình thường hay không.
RSI được hiển thị dưới dạng một đường dao động từ 0 đến 100. Nó đo tốc độ và mức độ thay đổi giá trong thời gian gần đây để cho bạn cái nhìn nhanh về động lượng thị trường.
- RSI ≥ 70 → Tài sản đang bị mua quá mức, giá có thể điều chỉnh giảm.
- RSI ≤ 30 → Tài sản đang bị bán quá mức, giá có thể bật tăng trở lại.
Nhiều nhà giao dịch xem các tín hiệu:
- RSI từ trên 70 quay xuống → tín hiệu bán.
- RSI từ dưới 30 bật lên → tín hiệu mua.
RSI hoạt động tốt nhất trong thị trường đi ngang, khi giá dao động trong biên độ.
Trong thị trường có xu hướng biến động mạnh, RSI có thể đưa ra tín hiệu sai vì giá có thể “quá mua”/“quá bán” trong thời gian dài.
Chỉ báo này được tạo ra bởi J. Welles Wilder Jr. và giới thiệu lần đầu vào năm 1978.

Cách thức hoạt động của chỉ số sức mạnh tương đối (RSI)
Khi nhìn RSI cùng với biểu đồ giá, nhà giao dịch sẽ dễ thấy sức mạnh thật sự của xu hướng: giá tăng có bền hay không, giá giảm có yếu dần hay không.
RSI sẽ hiệu quả hơn khi bạn kết hợp nó với các chỉ báo kỹ thuật khác. Việc này giúp bạn ra quyết định mua bán chính xác và tự tin hơn, thay vì chỉ dựa vào một tín hiệu duy nhất.
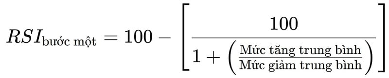
RSI sử dụng phép tính hai bước, bắt đầu với công thức sau:
Bước 1:
Để tính RSI, bạn cần tính mức tăng trung bình và mức giảm trung bình của giá trong một khoảng thời gian (thường là 14 ngày).

Trong công thức này, các chỉ số được tính như sau:
- Mức tăng trung bình = trung bình các ngày mà giá tăng. Những ngày giá giảm thì tính là 0.
- Mức giảm trung bình = trung bình các ngày mà giá giảm. Những ngày giá tăng thì tính là 0.
Ví dụ:
Giả sử ta dùng 14 ngày để tính RSI:
- Trong 14 ngày, có 7 ngày giá tăng, mức tăng trung bình = 1%.
- 7 ngày còn lại giá giảm, mức giảm trung bình = 0,8%.
Khi có hai giá trị này, bạn chỉ cần đưa chúng vào công thức là tính được RSI.
Ví dụ để bạn dễ hiểu cách tính RSI là gì
Bước 2:
Sau khi thu thập đủ 14 dữ liệu, ta tiến hành bước tính toán thứ hai. Mục đích của bước này là làm cho kết quả RSI trở nên mượt hơn.

Hiểu đơn giản:
- Bạn lấy mức tăng/giảm trung bình của kỳ trước, nhân với 13.
- Cộng với mức tăng/giảm của ngày hiện tại.
- Sau đó tính RSI như bước 1.
Nhờ cách làm mượt này, RSI hiếm khi chạm đúng 0 hoặc 100, giúp chỉ báo phản ánh thực tế hơn trong các giai đoạn thị trường có xu hướng biến động mạnh.
Vẽ biểu đồ RSI
Sau khi tính toán, chỉ số RSI có thể được biểu diễn dưới dạng đồ thị bên dưới biểu đồ giá của một tài sản. RSI sẽ tăng khi số ngày và mức độ tăng giá gia tăng. Ngược lại, RSI sẽ giảm khi số ngày và mức độ giảm giá tăng lên.

Như bạn có thể thấy trong biểu đồ, chỉ số RSI có thể ở mức mua quá mức trong thời gian dài khi cổ phiếu đang tăng. Ngược lại, nó cũng có thể ở mức bán quá mức trong thời gian dài khi cổ phiếu đang giảm. Điều này có thể gây hiểu lầm cho nhà phân tích mới, nhưng nắm bắt cách sử dụng chỉ báo trong ngữ cảnh của xu hướng thị trường sẽ giúp làm rõ vấn đề này.
Tại sao chỉ số RSI quan trọng?
Chỉ số RSI quan trọng vì nhiều lý do đối với các nhà giao dịch:
- Nhà giao dịch có thể sử dụng RSI để dự đoán diễn biến giá của một chứng khoán/coin.
- Xác nhận xu hướng và đảo chiều xu hướng
- Chỉ ra các coin được mua hoặc bán quá mức
- Cung cấp tín hiệu mua bán cho nhà giao dịch ngắn hạn
Lưu ý: RSI là một chỉ báo kỹ thuật có thể được sử dụng kết hợp với các chỉ báo khác để hỗ trợ các chiến lược giao dịch.
Hướng dẫn sử dụng RSI kết hợp với xem xét xu hướng
Điều chỉnh chỉ số RSI để phù hợp với xu hướng
Để đọc tín hiệu RSI chính xác, bạn cần xem xét xu hướng chính của thị trường. Theo chuyên gia Constance Brown (CMT), mức RSI “quá bán” trong xu hướng tăng thường không giảm đến 30, mà có thể dừng ở mức cao hơn. Ngược lại, trong xu hướng giảm mạnh, mức RSI “quá mua” cũng không cần chạm 70 mà có thể thấp hơn nhiều.
Ví dụ: ở xu hướng giảm, RSI thường chỉ tăng đến khoảng 50 rồi quay đầu. Với nhiều nhà giao dịch, đây là tín hiệu giảm giá đáng tin cậy hơn việc đợi RSI lên đến 70.
Để dễ theo dõi, nhiều người còn kẻ thêm đường giữa vùng 30–70 khi thị trường đang có xu hướng mạnh, giúp họ xác định rõ vùng cực đoan phù hợp với bối cảnh thực tế.
Ngược lại, trong thị trường đi ngang hoặc nằm trong vùng giá tích lũy lâu dài, bạn thường không cần điều chỉnh lại mức 30–70, vì RSI hoạt động chính xác hơn trong điều kiện thị trường đi ngang.
Tóm lại: RSI cho tín hiệu kém chính xác trong xu hướng mạnh, và các tín hiệu mua/bán có thể dễ sai nếu không đánh giá đúng xu hướng tổng thể trước khi sử dụng.
Cách sử dụng tín hiệu mua & bán phù hợp với xu hướng
Một khái niệm quan trọng là sử dụng các tín hiệu giao dịch phù hợp với xu hướng. Nói cách khác, khi giá đang tăng, tập trung vào tín hiệu mua và khi giá đang giảm, tập trung vào tín hiệu bán. Điều mày có thể giúp nhà giao dịch tránh các cảnh báo sai lệch mà RSI có thể tạo ra trong thị trường có xu hướng.

Cách xác định ngưỡng MUA QUÁ MỨC hoặc BÁN QUÁ MỨC
Khi nhìn vào biểu đồ RSI:
- RSI vượt lên trên mức 30 → thường là tín hiệu tăng giá. Điều này cho thấy tài sản đã thoát khỏi vùng “bán quá mức” và có thể bắt đầu phục hồi.
- RSI vượt lên trên mức 70 → thường là tín hiệu giảm giá. Tài sản đang ở vùng “mua quá mức”, tức là giá đã tăng quá mạnh và dễ điều chỉnh giảm.
Mua quá mức (Overbought) nghĩa là giá đang cao hơn giá trị thực tế. Khi thấy tín hiệu này, nhiều nhà giao dịch cho rằng giá sắp giảm hoặc đảo chiều, nên họ cân nhắc bán ra.
Bán quá mức (Oversold) nghĩa là giá đang thấp hơn giá trị thực. Khi RSI nằm dưới vùng này, nhà giao dịch có thể dự đoán giá sắp phục hồi và xem đây là cơ hội mua vào.
Tóm lại:
- RSI ≥ 70 → có thể là lúc xem xét bán
- RSI ≤ 30 → có thể là lúc xem xét mua.
Các tín hiệu này không phải lúc nào cũng chính xác, nhưng rất hữu ích khi kết hợp với xu hướng thị trường và các chỉ báo khác.

Phân tích RSI và phạm vi RSI
Trong mỗi xu hướng, chỉ số RSI thường di chuyển trong một “vùng” nhất định:
- Xu hướng tăng: RSI thường nằm trên 30 và nhiều lần chạm 70.
- Xu hướng giảm: RSI hiếm khi vượt 70 và thường xuyên rơi về 30 hoặc thấp hơn.
Những phạm vi này giúp nhà giao dịch đánh giá sức mạnh xu hướng và phát hiện dấu hiệu đảo chiều.
Cách hiểu đơn giản:
- Xu hướng tăng đang yếu đi nếu RSI liên tục tăng nhưng không thể vượt 70, rồi sau đó giảm mạnh xuống dưới 30. Đây có thể là tín hiệu báo trước một đợt giảm hoặc đảo chiều xuống.
- Xu hướng giảm đang suy yếu nếu RSI giảm nhiều lần nhưng không chạm 30, rồi bất ngờ bật mạnh lên và vượt 70. Điều này có thể báo hiệu xu hướng giảm sắp kết thúc và có thể đảo chiều tăng.
Khi phân tích RSI, các công cụ như đường xu hướng và đường trung bình động (MA) sẽ giúp bạn xác nhận tín hiệu rõ ràng hơn.
Lưu ý quan trọng:
- RSI (Relative Strength Index) đo động lực giá của một tài sản.
- Sức mạnh tương đối (Relative Strength) lại dùng để so sánh hiệu suất của hai tài sản khác nhau. Đây là hai khái niệm dễ nhầm lẫn, nhưng hoàn toàn khác nhau.
>>> Xem thêm: Top 12 đồng coin tiềm năng nhất hiện nay

Ví dụ về phân kỳ RSI (RSI Divergence)
Phân kỳ RSI xảy ra khi giá đi một hướng nhưng RSI lại đi hướng ngược lại. Điều này cho thấy động lực giá đang thay đổi trước khi giá thật sự đảo chiều, vì vậy đây là một tín hiệu quan trọng.
- Phân kỳ tăng giá (Bullish divergence): Xảy ra khi RSI bật lên từ vùng bán quá mức và tạo đáy sau cao hơn đáy trước (trong khi đó, đường giá lại đi ngược lại = tạo đáy thấp hơn) Điều này cho thấy lực bán đang yếu dần và giá có thể chuẩn bị đảo chiều đi lên. Đây là tín hiệu mua tiềm năng.
- Phân kỳ giảm giá (Bearish divergence): Xảy ra khi RSI rơi xuống từ vùng mua quá mức và tạo đỉnh sau thấp hơn đỉnh trước (trong khi đó, giá lại tạo đỉnh cao hơn). Điều này cho thấy lực mua đang yếu đi và giá có thể sắp quay đầu giảm. Đây là tín hiệu bán.
Phân kỳ RSI là tín hiệu mạnh nhưng không xảy ra thường xuyên, đặc biệt khi thị trường đang trong một xu hướng tăng hoặc giảm mạnh.
Điều chỉnh lại mức RSI mua/bán quá mức một cách linh hoạt trong ngưỡng 70–30 sẽ giúp bạn phát hiện nhiều tín hiệu tiềm năng hơn.

Ví dụ về đảo chiều RSI tích cực – tiêu cực
Một mối quan hệ bổ sung mà nhà giao dịch thường quan tâm đến là đảo chiều RSI.
Đảo chiều RSI tích cực xảy ra khi RSI đạt đáy thấp hơn so với trước đó, đồng thời giá coin đạt đáy cao hơn so với trước đó, cho thấy tín hiệu tăng giá và là tín hiệu mua.
Ngược lại, đảo chiều RSI tiêu cực xảy ra khi RSI đạt đỉnh cao hơn so với trước đó, đồng thời giá coin đạt đỉnh thấp hơn, là dấu hiệu giảm giá và là tín hiệu bán.
Ví dụ về phản kháng dao động RSI (RSI Swing Rejection)
Một kỹ thuật giao dịch khác là kiểm tra hành vi của RSI khi nó vượt khỏi vùng mua – bán quá mức, được gọi là phản kháng dao động tăng giá (bullish swing rejection) gồm bốn phần:
- RSI rơi vào vùng bán quá nhiều.
- Chỉ số RSI vượt lên trên mức 30.
- RSI tạo thêm một đáy thấp hơn nhưng không quay trở lại vùng bán quá mức.
- Sau đó, RSI vượt qua đỉnh cao mới nhất của nó.
Trong biểu đồ sau, RSI đã bị bán quá mức, vượt qua mức 30 và tạo ra đáy phản kháng, kích hoạt tín hiệu khi nó tăng lên cao hơn. Sử dụng RSI như thế này tương tự như việc vẽ các đường xu hướng trên biểu đồ giá.

Tương tự như tín hiệu phản kháng đảo chiều tăng giá, tín hiệu phản kháng đảo chiều giảm giá RSI cũng là một phiên bản đảo ngược. Tín hiệu giảm giá này cũng có bốn phần:
- RSI tăng lên vùng mua quá nhiều.
- Chỉ số RSI giảm xuống dưới mức 70.
- RSI tạo thêm một đỉnh cao hơn nhưng không quay trở lại vùng mua quá nhiều.
- Sau đó, RSI phá vỡ mức thấp gần nhất của nó.
Biểu đồ sau minh họa tín hiệu phản kháng đảo chiều giảm giá RSI. Giống như hầu hết các kỹ thuật giao dịch, tín hiệu này sẽ đáng tin cậy nhất khi nó phù hợp với xu hướng dài hạn hiện tại. Các tín hiệu giảm giá trong các xu hướng giảm có khả năng tạo ra tín hiệu nhiễu (false alarm) ít hơn.

Sự khác nhau giữa RSI và MACD
| Đặc điểm | RSI | MACD |
| Cách đo lường | Mối quan hệ giữa mức tăng & giảm giá trung bình | Sự chênh lệch giữa 2 đường EMA (12 & 26 ngày) |
| Phạm vi | 0 – 100 | Có thể âm hoặc dương, không giới hạn |
| Mục đích sử dụng | Xác định quá mua/bán quá mức, điểm đảo chiều | Xác định tín hiệu mua/bán, phân kỳ giá |
| Ưu điểm | Dễ hiểu, dễ sử dụng, thông tin chi tiết về động lực | Phát hiện tín hiệu sớm, xác định phân kỳ giá, xác nhận tín hiệu RSI |
| Nhược điểm | Tín hiệu sai trong xu hướng mạnh, chậm trễ xác định đảo chiều | Phức tạp hơn, tạo tín hiệu nhiễu, cần kết hợp chỉ báo khác |
| Sử dụng kết hợp | Cung cấp bức tranh toàn diện về động lực & xu hướng | Tăng cường khả năng xác định cơ hội giao dịch, giảm thiểu rủi ro |
Khi kết hợp RSI và MACD, cần lưu ý rằng hai chỉ báo này đo lường động lực của tài sản từ các góc độ khác nhau, nên đôi khi chúng có thể cho tín hiệu mâu thuẫn.
Ví dụ, RSI có thể cho thấy mức mua quá mức khi vượt qua 70, trong khi MACD vẫn chỉ ra sự tăng động lực mua. Cả hai chỉ báo cũng có thể báo hiệu sự thay đổi xu hướng bằng cách phát hiện phân kỳ với giá, ví dụ, giá tăng trong khi chỉ báo giảm, hoặc ngược lại.
RSI và MACD là hai chỉ báo kỹ thuật phổ biến để đo lường động lực và xác định tín hiệu mua/bán. Dù có phương pháp tính toán khác nhau, sử dụng kết hợp cả hai có thể giúp nhà giao dịch ra quyết định hiệu quả hơn.
Giới hạn của RSI
RSI là một chỉ báo dao động so sánh động lực tăng và giảm giá, hiển thị dưới biểu đồ giá. Tín hiệu RSI đáng tin cậy nhất khi khớp với xu hướng dài hạn.
Tín hiệu đảo chiều thực sự hiếm và khó phân biệt với tín hiệu nhiễu. Ví dụ:
- Tín hiệu dương giả (false positive): xảy ra khi RSI cho tín hiệu mua nhưng giá cổ phiếu lại giảm mạnh sau đó.
- Tín hiệu âm giả (false negative): xảy ra khi RSI cho tín hiệu bán nhưng giá cổ phiếu lại tăng mạnh sau đó.
RSI có thể duy trì ở vùng mua quá mức hoặc bán quá mức khi tài sản có động lực mạnh. Vì vậy, RSI hữu dụng nhất trong thị trường dao động, nơi giá tài sản luân phiên giữa tăng và giảm.
Câu hỏi thường gặp về RSI
Chỉ số sức mạnh tương đối (RSI) là gì?
RSI (Relative Strength Index) đo lường động lực giá của cổ phiếu hoặc coin khác, biểu diễn trên thang điểm từ 0 đến 100. RSI dưới 30 cho biết cổ phiếu đang bán quá mức, trên 70 cho biết đang mua quá mức. Các nhà giao dịch thường đặt biểu đồ RSI dưới biểu đồ giá để so sánh động lực với giá thị trường.
Có nên mua vào khi RSI thấp?
Một số nhà giao dịch coi RSI dưới 30 là tín hiệu mua, dựa trên ý tưởng rằng đồng coin đã bán quá mức và sẵn sàng phục hồi. Tuy nhiên, trong xu hướng giảm mạnh, coin có thể tiếp tục ở vùng bán quá mức. Do đó, các nhà giao dịch có thể đợi các chỉ báo kỹ thuật khác xác nhận tín hiệu mua.
Điều gì xảy ra khi RSI cao?
RSI được dùng để xác định xem một coin/token có được mua quá nhiều hay không. Giá trị RSI cao có thể nghĩa là đồng tiền đó đang mua quá nhiều và giá có thể giảm, do đó, đây có thể là tín hiệu để bán.

Kết luận
Bài viết trên đã cung cấp cho bạn cái nhìn tổng quan và kiến thức cơ bản về khái niệm “RSI là gì?”. Đây là một công cụ quan trọng giúp nhà giao dịch hiểu rõ hơn về sự động lực của giá cả và phản ứng của thị trường. Tuy nhiên, để áp dụng RSI hiệu quả, việc kết hợp nó với các công cụ phân tích kỹ thuật khác là cần thiết để đưa ra các quyết định giao dịch chiến lược và bảo đảm tính chính xác trong giao dịch.
Nguồn: Investopedia